|
|
|||||||||
|
昨(22)日,乐山市人民政府新闻办举行新闻发布会,公布了乐山市2015年上半年经济运行情况。2015年上半年,乐山全市实现地区生产总值(GDP)608.6亿元,同比增长9.0%,分别好于去年同期、好于一季度、好于全国全省平均水平、好于年初预期。全市经济运行呈现总体平稳、稳中有升的良好发展态势。
今年上半年,围绕“转型升级年”工作主题,乐山市无论从经济增长结构、投资比重,还是从传统工业到高新技术产业的换档升级上,都进一步展现出“转型升级”带来的活力。数据显示,今年上半年,乐山全市服务业增加值实现167.26亿元,占GDP的比重为27.5%,占比比去年同期提升2.9个百分点。服务业增加值增速为10%,比去年同期提升3.7个百分点,高于全省平均增速0.9个百分点,居全省第3位,比去年提升16个位次。
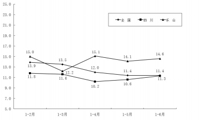
经四川省统计局核定,上半年乐山全市实现地区生产总值608.6亿元,同比增长9.0%,增速分别高于全国、全省2.0个、1.0个百分点,高于上年同期、今年一季度3.8个、0.5个百分点。
上半年,乐山全市规模以上工业增加值增长10.2%,增速高于全省2.1个百分点,分别高于上年同期、今年一季度5.5个、1.0个百分点。今年上半年,虽然全市工业经济运行呈现出“稳中有升”的总体态势,但全市工业经济依然面临企业普遍存在经营困难、资金链紧绷以及投资增长后劲不足等困难。
上半年,乐山全社会固定资产投资538.2亿元,同比增长14.6%,增速高于全省3.3个百分点,分别高于上年同期、今年一季度5.9个、2.4个百分点,完成省市下达全年目标960亿元的56.1%,实现时间、任务“双过半”。
205个省市重大项目完成投资224.7亿元,完成全年目标任务389亿元的57.8%,占全市投资的比重达41.8%。上半年,全市累计新开工项目440个,增长45.7%,计划总投资458亿元、增长7.5%。
今年上半年,乐山城镇居民人均可支配收入12609元,增长8.3%,农村居民人均可支配收入5719元,增长10.3%。农村居民收入增速高于城镇居民2.0个百分点。
上半年,居民消费价格(CPI)上涨2.3%,涨幅同比持平。八大类消费品及服务项目价格“五涨三跌”,“五涨”的有食品类、衣着类、医疗保健和个人用品类、娱乐教育文化用品及服务类、居住类;“三跌”的有烟酒类、家庭设备用品及维修服务类、交通和通信类。
今年上半年,乐山全市实现社会消费品零售总额271.0亿元,同比增长13.3%,增速高于全省1.5个百分点,分别高于上年同期、今年一季度0.5个、0.3个百分点。
昨日的新闻发布会上,乐山市统计局、市重大项目办公室、市经信委、市商务局四部门相关负责人,对乐山市今年上半年经济数据进行解读,并对媒体关心的重大项目、转型升级、“互联网+”等问题进行解答。
五大动力拉动经济实现“四个好于”。今年上半年,乐山市主要经济指标增速实现了“四个好于”,即好于去年同期、好于第一季度、好于全省水平、好于年初预期。有记者问,乐山上半年经济实现如此良好的运行,来源于哪些动力?
乐山市统计局相关负责人表示,上半年乐山经济实现“四个好于”,一是政策效应逐步显现,二是投资拉动有力,三是工业增速持续回升,四是服务业较快发展,五是经济调整加快推进。
继续推进工业转型升级。今年,市委、市政府将工作主题确定为“转型升级年”,有记者问,乐山在推进工业转型升级上有何具体举措?
乐山市经信委相关负责人表示,今年以来,乐山工业领域不断优化产业结构,改造提升传统优势产业,加大新型产业投资力度,推动产业换档升级,进一步推动整体工业经济的转型升级。下半年,乐山将进一步稳增长,稳定传统工业发展夯实基础,进而实现改造提升。加大精选项目建设力度,对接“中国制造2025”规划,集中要素保障,建立健全服务平台体系,强化执行力继续推进项目挂联制度,在重点行业、重点企业推动转型升级。
一批重大项目或年内开工。岷江航电、乐山机场等一批项目深受广大市民关注,有记者问,岷江航电、乐山机场等项目目前发展情况如何,乐山下半年还有哪些重大项目开工建设?
乐山市重大办相关负责人表示,目前,岷江航电、乐山机场等项目已纳入国家“一带一路”发展规划战略项目。其中,岷江航电项目已经通过国家发改委批复,正在对移民安置等配套政策进行研究,等待相关政策得到省上相关部门批复后,按照规划岷江航电犍为枢纽工程有望于今年年内开工建设。乐山机场项目自上世纪90年代开始,已历时20余年,由于项目属于军民两用机场,手续较为复杂,但项目前期推进工作较为顺利,已获得国家民航总局批复,等待解放军总参谋部、国家发改委、民航总局联合批复后,争取今年年底前试验段开工建设。下半年,连乐铁路、峨眉山智慧旅游产业园区、乐山智慧城市等一批重大项目有望年内开工建设。
大力推动乐山“互联网+”。目前,“互联网+”正成为经济领域最热门的话题之一。有记者问,乐山市近期有没有涉及“互联网+”的第三产业发展规划或计划?有哪些主要项目或措施?
乐山市商务局相关负责人表示,今年6月,四川省就“互联网+”召开专门会议,在13个重点行业推动“互联网+”。乐山成立了“乐山市促进电子商务健康快速发展工作领导小组”,出台了《乐山市人民政府办公室关于促进电子商务健康快速发展的实施意见》,并从2015年起,每年设立500万元电子商务发展专项资金。
以“乐山造”综合电子商务公共平台为主,打造以沙湾不锈钢园区平台、夹江西部瓷都“淘瓷网”、第三方物流平台等一批乐山优势产业垂直电子商务平台为辅的1+N乐山电子商务新模式。成功申报全省电子商务内贸流通服务业资金项目3个,并积极指导相关企业开展电子商务。加强电子商务人才培育和引进,指导乐山职业技术学院投入500余万元建成“电子商务培训中心”,积极促进硕士儿童用品公司与中心共同举办专业培训班。以五通桥区、夹江县为先行示范,在全市区县推进农村电子商务发展,夹江县投入3000万元建设“全国电子商务进农村示范项目”。
下一阶段,乐山将把电子商务和“互联网+”写入乐山市服务业十三五规划,打造一家互联网产业园区,引进一家第三方支付平台,进一步打造乐山版的互联网+农业、+市场、+服务、+人才等“互联网+”模式。(薛伟)



